Alberi lineari: Standard di precisione per alberi lineari MISUMI
Gli alberi lineari sono un sottoinsieme delle guide lineari e forniscono stabilità e precisione nei sistemi di movimento lineare. I vari requisiti di precisione sono attribuiti agli alberi lineari per garantire che i movimenti siano eseguiti con un attrito ridotto, in modo preciso e affidabile. Questi requisiti specificano rotondità, rettilineità, perpendicolarità e concentricità dell’albero lineare. MISUMI offre alberi lineari nelle versioni standard e di precisione. In questo articolo scoprirai le diverse caratteristiche e imparerai quando utilizzare la variante e quali sono i requisiti di precisione.
Parametri di precisione fondamentali per gli alberi lineari
I parametri di precisione tipici degli alberi lineari sono rettilineità, rotondità, perpendicolarità e concentricità. Influiscono sulla precisione, sulla stabilità e sulla longevità degli alberi lineari installati e dell’intero sistema in cui sono installati gli alberi lineari. Anche deviazioni minori possono portare a un aumento dell’usura, a vibrazioni o a errori di posizionamento. In questo contesto le tolleranze dimensionali e la selezione dell’accoppiamento sono aspetti importanti per la produzione e l’uso degli alberi lineari. La tolleranza di forma descrive la deviazione consentita della forma geometrica dell’albero dalla dimensione nominale ideale, mentre la tolleranza di posizione descrive la deviazione consentita dalla posizione ideale o dall’allineamento di un albero.
- (D) Diametro
- (K) Rettilineità
- (M) Rotondità
- (L) Lunghezza di lavoro
- (Y) Lunghezza complessiva risultante
- (F) Passo, sinistro
- (P) Diametro filettato o a gradini, sinistro
- (S) Passo lunghezza della filettatura, destro
- (T) Passo, destra
- (B) Passo lunghezza della filettatura, sinistro
- (Q) Diametro filettato o a gradini, destro
Anche la conformità agli standard di precisione è un criterio chiave per la selezione dei mercati di approvvigionamento. Uno stabilimento di produzione in Portogallo offre a MISUMI la possibilità di produrre pezzi di precisione all’interno dell’UE. In MISUMI risulta vantaggioso per avere consegne puntuali, percorsi di consegna relativamente brevi e materiali conformi agli standard europei.
La sezione seguente illustra in dettaglio alcuni dei parametri chiave:
Rotondità degli alberi lineari
La rotondità descrive la precisione con cui la sezione trasversale dell’albero corrisponde a un cerchio matematicamente perfetto. La rotondità elevata garantisce un carico uniforme del cuscinetto e alte prestazioni. Deviazioni di pochi millimetri possono portare a un precarico, che causa un’usura più rapida dell’albero lineare e del cuscinetto. Le applicazioni ad alta precisione richiedono quindi tolleranze di rotondità strette.
Per caso, spostamento e rotondità non sono uguali. Lo spostamento descrive il modo in cui l’albero ruota intorno all’asse di rotazione, misurato in un punto fisso dell’albero. Ciò è specificato dalle cosiddette tolleranze di spostamento che descrivono la deviazione dall’asse ideale.
- (1) Albero
- (2) Diametro ideale dell’albero rotondo
- (3) Deviazione dal diametro reale
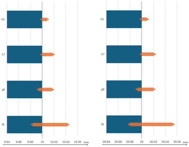
La tabella seguente mostra la rotondità M in funzione di D e della tolleranza ISO:
| Tolleranza ISO | ||
|---|---|---|
| Diametro di esempio D | g6, h6 - albero temprato | f8 - Albero non temprato |
| Arrotondamento M | Arrotondamento M | |
| 10 | 0.004 | 0.011 |
| 16 | 0.005 | 0.014 |
| 30 | 0.006 | 0.017 |
| 50 | 0.007 | 0.02 |
Deviazioni diametro esterno
Un diametro esterno preciso entro limiti di campo di tolleranza ristretti è particolarmente rilevante se sono necessarie elevata precisione e fluidità della guida. Forma inoltre la base se è necessario un allineamento esatto senza gioco o se sono necessari tipi specifici di accoppiamento, come l’accoppiamento con interferenza.
Mentre la deviazione consentita della versione di precisione è di 0,02 mm, la versione standard specifica una tolleranza di deviazione di 0,1 mm.
Rettilineità dell’albero lineare
La rettilineità descrive la precisione dell’allineamento di un albero sull’intera lunghezza. Non deve discostarsi da una linea ideale. Più precisa è la rettilineità, più precisi e uniformi sono i movimenti degli elementi guida. Per misurare la rettilineità è possibile utilizzare una macchina di misurazione delle coordinate 3D e una sonda.
La tabella seguente mostra gli standard di precisione MISUMI per la rettilineità lineare dell’albero in funzione di D e L:
| g6, h6 - Albero temprato |
f8 - Albero non temprato |
|||
|---|---|---|---|---|
| L | D | Rettilineità K | L | Rettilineità K |
| * | 3 e 4 | ≤ (L/100) x 0.05 | ≤ 100 | ≤ 0.025 |
| * | 5 | ≤ (L/100) x 0.03 | ||
| ≤ 100 | Da 6 a 50 | ≤ 0.01 | > 100 | ≤ (L/100) x 0.025 |
| > 100 | ≤ (L/100) x 0.01 | |||
Concentricità degli alberi lineari
La concentricità di un albero è intesa come indice della precisione con cui gli assi rotanti, per esempio, di un diametro esterno dell’albero e un disassamento del perno sulla superficie anteriore sono allineati tra loro. Maggiore è la concentricità, più uniforme è il comportamento rotazionale. Quindi eccentricità e concentricità sono direttamente correlate. Per gli alberi lineari non rotanti la concentricità è più rilevante per la precisione dell’allineamento.
Perpendicolarità dell’albero lineare
La perpendicolarità assicura che l’albero lineare presenti un angolo esatto di 90° rispetto ad altri componenti del sistema. In assenza di perpendicolarità possono presentarsi tensioni e forze di taglio laterali. Queste influiscono su guida, attrito e movimento.
Deviazioni di lunghezza
La tabella seguente mostra le tolleranze di deviazione delle dimensioni L o Y in funzione della lunghezza della parte.
| Dimensione L/(Y) | g6, h6 - albero temprato | f8 - Albero non temprato | |
|---|---|---|---|
| oltre | o inferiore | Tolleranza | |
| > 3 | ≤ 6 | ±0.1 | |
| > 6 | ≤ 30 | ±0.2 | |
| > 30 | ≤ 120 | ±0.3 | |
| > 120 | ≤ 400 | ±0.5 | |
| > 400 | ≤ 1.000 | ±0.8 | |
| > 1.000 | ≤ 1.500 | ±1.2 | |
Deviazioni dello spessore della parete
Lo spessore della parete sugli alberi cavi influisce sulla stabilità complessiva e sulla resistenza alla curvatura dell’albero lineare. In questo caso l’attenzione è rivolta al risparmio di materiale e/o peso. Allo stesso tempo lo spessore della parete influisce sulla deformazione dell’albero spostando il centroide. L’albero è deformato in vari gradi (vedere anche Concentricità) a seconda dell’orientamento della forza radiale che agisce sull’albero. Sui giunti della filettatura interna lo spessore della parete influisce anche sulla precisione dell’allineamento.
La tabella seguente fornisce una panoramica delle deviazioni ammissibili dello spessore della parete dell’albero cavo per gli alberi realizzati con materiale EN 1.3505 e EN 1.4125 equivalente.
| D | EN 1.3505 Equiv. Valore deviazione spessore parete |
EN 1.4125 Equiv. Valore deviazione spessore parete |
|||||||||||||||||||||||||||||||||||||||||||||||||||||||||||||||||||||||||||||||||||||||||||||||||
|---|---|---|---|---|---|---|---|---|---|---|---|---|---|---|---|---|---|---|---|---|---|---|---|---|---|---|---|---|---|---|---|---|---|---|---|---|---|---|---|---|---|---|---|---|---|---|---|---|---|---|---|---|---|---|---|---|---|---|---|---|---|---|---|---|---|---|---|---|---|---|---|---|---|---|---|---|---|---|---|---|---|---|---|---|---|---|---|---|---|---|---|---|---|---|---|---|---|---|---|
| 6 | ≤ 0.3 | - | |||||||||||||||||||||||||||||||||||||||||||||||||||||||||||||||||||||||||||||||||||||||||||||||||
| 8 | ≤ 0.4 | ≤ 1.5 | |||||||||||||||||||||||||||||||||||||||||||||||||||||||||||||||||||||||||||||||||||||||||||||||||
| 10 | ≤ 4.0 | ||||||||||||||||||||||||||||||||||||||||||||||||||||||||||||||||||||||||||||||||||||||||||||||||||
| 12 | |||||||||||||||||||||||||||||||||||||||||||||||||||||||||||||||||||||||||||||||||||||||||||||||||||
| 13 | |||||||||||||||||||||||||||||||||||||||||||||||||||||||||||||||||||||||||||||||||||||||||||||||||||
| 16 | |||||||||||||||||||||||||||||||||||||||||||||||||||||||||||||||||||||||||||||||||||||||||||||||||||
| 20 | |||||||||||||||||||||||||||||||||||||||||||||||||||||||||||||||||||||||||||||||||||||||||||||||||||
| 25 | ≤ 0.6 | ||||||||||||||||||||||||||||||||||||||||||||||||||||||||||||||||||||||||||||||||||||||||||||||||||
| 30 | ≤ 1.0 | ||||||||||||||||||||||||||||||||||||||||||||||||||||||||||||||||||||||||||||||||||||||||||||||||||
| 35 | - | ||||||||||||||||||||||||||||||||||||||||||||||||||||||||||||||||||||||||||||||||||||||||||||||||||
| 40 | ≤ 1.5 | ||||||||||||||||||||||||||||||||||||||||||||||||||||||||||||||||||||||||||||||||||||||||||||||||||
| 50 | |||||||||||||||||||||||||||||||||||||||||||||||||||||||||||||||||||||||||||||||||||||||||||||||||||
| |||||||||||||||||||||||||||||||||||||||||||||||||||||||||||||||||||||||||||||||||||||||||||||||||||
La scelta giusta: Differenze tra progettazioni standard e di precisione
MISUMI produce alberi lineari in versioni standard e di precisione. Entrambe le varianti differiscono, ad esempio per rotondità e rettilineità, classi di tolleranza dell’albero, trattamento superficiale, materiale, durezza del materiale e delle loro applicazioni.
Per ulteriori informazioni su questo argomento consultare i nostri blog sui test di durezza (pertinenti per la selezione dei materiali) e sui fondamenti della rugosità della superficie (pertinenti per la precisione e la longevità degli alberi lineari).
Di seguito sono riportati alcuni dei materiali utilizzati per la produzione degli alberi:
Materiale: Materiale di precisione CF53 (DIN/EN)
Il materiale CF53, o numero di materiale europeo 1.1213, è un acciaio temperato non legato. La sua composizione chimica è composta da carbonio, silicio, manganese, fosforo e zolfo. CF53 è adatto per la tempra a induzione e alla fiamma e quindi può essere utilizzato in applicazioni con carichi meccanici elevati. Viene utilizzato comunemente nell’industria automobilistica, ad esempio nei componenti dell’assale o nelle colonne guida. Con un contenuto medio di carbonio di circa lo 0,5%, CF53 può essere lavorato con precisione mediante tornitura, fresatura e rettifica. Una stabilità dimensionale elevata può essere ottenuta grazie alla tempra a induzione. Quindi viene adattato facilmente per la produzione degli alberi di precisione.
Materiale: Materiale di precisione C45 (JIS)
Il materiale C45 (JIS) corrisponde al numero di materiale europeo 1.0503 con il nome abbreviato DIN/EN S45C. È un acciaio rinvenuto o strutturale non legato con una struttura a grana molto uniforme e un elevato contenuto di carbonio. Ha resistenza, duttilità e resistenza all’usura elevate, caratteristiche che lo rendono un acciaio molto diffuso per le applicazioni di ingegneria meccanica. C45 può essere temprato solo entro certi limiti. Non è possibile una tempra completa, ma è possibile ottenere un’elevata durezza marginale.
Materiale: Materiale di precisione SUJ2 (JIS)
Il materiale SUJ2 (JIS) corrisponde al numero di materiale europeo 1.3505 con nome abbreviato DIN/EN 100 Cr6 ed è un acciaio per cuscinetti volventi. Viene utilizzato per la produzione di cuscinetti volventi, ma viene utilizzato anche nelle applicazioni di ingegneria meccanica per componenti soggetti a usura.
Materiale: Materiale di precisione SUS304 (JIS)
Il materiale SUS304 (JIS) corrisponde al numero di materiale europeo 1.4301 con il nome abbreviato DIN/EN X5CrNi18-10. È un acciaio inox austenitico con il 18% di cromo e l’8% di nichel. SUS304 è una delle qualità di acciaio inox più utilizzate. Le sue proprietà meccaniche e la buona resistenza al calore lo rendono la scelta preferita per le applicazioni che richiedono forza e resistenza alla corrosione. Sebbene SUS 304 sia noto per la sua eccellente resistenza alla corrosione, può corrodersi, ad esempio in ambienti caldi con presenza di cloruri.
Materiale: Materiale di precisione SUS440C (JIS)
Il materiale SUS440C (JIS) è conforme al numero di materiale europeo 1.4125 con il nome abbreviato DIN/EN X105CrMo17. È un acciaio inox martensitico ad alto contenuto di carbonio. Dopo il trattamento termico, SUS440C raggiunge una resistenza molto elevata, durezza ed eccellente resistenza all’usura. Oltre alle sue proprietà meccaniche è caratterizzato da una buona resistenza alla corrosione in ambienti industriali leggermente umidi, acidi o alcalini.
Varie tolleranze ISO
Esistono varie classi di tolleranza ISO per la precisione dell’albero lineare che definiscono la precisione dimensionale e le tolleranze di fabbricazione. Definiscono le deviazioni ammissibili dalla dimensione nominale per il diametro dell’albero e influenzano la precisione di adattamento con cuscinetti (ad es. boccole a strisciamento) e guide. La tolleranza dell’albero indica la precisione con cui il diametro dell’albero corrisponde alla dimensione nominale o ideale. Le progettazioni precise spesso hanno tolleranze ridotte, mentre le progettazioni standard vengono utilizzate in applicazioni che consentono tolleranze più ampie.
Cosa significano le classi di tolleranza ISO per gli alberi in dettaglio?
Esiste una distinzione tra tolleranze fini e grossolane. Tolleranza fine significa che l’albero è fabbricato con tolleranze dimensionali molto strette e c’è poco spazio per una deviazione. Gli alberi con tolleranza fine hanno alta precisione, ad es. classe di tolleranza h5. Le tolleranze grossolane consentono deviazioni maggiori dalle dimensioni nominali. Gli alberi di questo tipo, ad es. con tolleranza f8, hanno una precisione inferiore, ma di solito sono più economici. Una classe di tolleranza comunemente utilizzata è il campo di tolleranza h7, che definisce una deviazione dimensionale stretta per gli accoppiamenti.
Le tolleranze dell’albero interagiscono sempre anche con le tolleranze del cuscinetto o della guida, ad es. la tolleranza del diametro delle boccole a strisciamento. La combinazione dei diversi campi di tolleranza si traduce in diversi accoppiamenti (ad es. accoppiamento mobile, accoppiamento bloccato alla pressa o accoppiamento con gioco entro i limiti di tolleranza). Ad esempio, la combinazione F8/h7 descrive un accoppiamento stretto per macchine di precisione con requisiti di posizionamento precisi. Mentre la lettera maiuscola definisce il campo di tolleranza del foro, la lettera minuscola definisce il campo di tolleranza dell’albero.
Per ulteriori informazioni sulle tolleranze di forma e posizione consultare il nostro articolo sulle tolleranze di forma e di posizione secondo ISO 1101 e lo standard giapponese JIS B 0001.
Versioni diverse per tipo di cuscinetto
I cuscinetti a strisciamento e i cuscinetti volventi hanno requisiti diversi per la precisione dell’albero. I cuscinetti a strisciamento hanno due superfici che si muovono l’una opposta all’altra, con conseguente movimento di scorrimento. I cuscinetti a strisciamento hanno una grande superficie di contatto e possono anche alloggiare alberi in materiale non temprato a causa della compressione della superficie inferiore associata. Tuttavia il posizionamento del cuscinetto a strisciamento sull’albero è spesso meno preciso rispetto ai cuscinetti volventi. I cuscinetti a strisciamento sono facili da fabbricare ed economici. Di solito sono adatti per applicazioni in cui la precisione dell’allineamento dell’albero è di importanza secondaria e che comportano carichi di vibrazioni o urti.
I cuscinetti volventi devono essere utilizzati ogni volta che vengono specificati requisiti di alta precisione. Il cuscinetto volvente riduce la resistenza all’attrito con corpi rotanti tra gli anelli interni ed esterni. I cuscinetti volventi sono particolarmente lisci grazie al conseguente attrito di rotolamento. L’acciaio di precisione può essere utilizzato per la produzione di requisiti di precisione particolarmente elevati. Di conseguenza le sfere per gli elementi rotanti hanno una durezza elevata con contatto a punto fisso e raggiungono valori alti di carico nominale dinamico. Al fine di evitare segni di presenza e altri danni sulla superficie dell’albero, il materiale dell’albero lineare deve avere sempre una durezza maggiore rispetto al materiale degli elementi rotanti.